(1)数据资产评估
数据资产评估是指运用科学、系统的评估方法,对特定数据资产在特定目的和特定时点的经济价值进行评定和估算的专业活动。
核心价值与目的:
l 对内管理:摸清家底,确定数据治理的优先级,优化数据投资。
l 对外交易:为数据入表(计入资产负债表)、数据交易、质押融资提供定价依据。
l 战略决策:证明数据驱动的商业价值,吸引投资,支持合作。
l 合规风控:满足法律法规对数据资产管理的要求。
(2)品牌评估:
品牌是给拥有者带来溢价、产生增值的一种无形的资产,它的载体是用于和其他竞争者的产品或劳务相区分的名称、术语、象征、记号或者设计及其组合,增值的源泉来自于消费者心智中形成的关于其载体的印象。
企业品牌资产价值评估不同于有形资产, 企业品牌资产价值的评估要以市场为基础,要在时常条件下对它的价格进行评估和确认,且其评估结果也要直接受到市场的检验。尤其在资产重组、资本运营过程中,企业品牌资产价值应该作为无形资产进行评估。
企业品牌资产价值的评估是基于企业品牌这一无形资产在市场上的地位以及预测它在未来的预期收益,通过模拟市场的运作方式确定下来的。由于企业品牌资产价值是是无形的又是可变的,评估师按照法定的程序和科学的方法,对企业品牌资产价值进行评估。评估机构的评估师应根据市场动态变化的情况,模拟市场运作,选定合理的参数,计算出模拟价格。因此,企业品牌资产价值评估有很明显的模拟性。市场的多边性以及许多难以测定或测不准的因素,使得企业品牌资产评估这种无形资产的评估比有形资产评估的难度要大得多,而准确性又低得多。
企业品牌资产价值的评估必须具有公正性,才能具有权威性。这种公正性主要表现在:一是评估中介组织人员的公正性。评估机构和评估师必须具有法定资产评估资格,并与被评估的企业品牌资产业务没有利害关系,能根据客观实际,公正、公平地操作评估业务。二是评估业务的规范性。企业品牌资产评估应按法定的准则和规程进行,具有公认的行为规范和业务范围。
(3)商标权评估
商标权是商标专用权的简称,是指商标主管机关依法授予商标所有人对其注册商标受国家法律保护的专有权。商标注册人依法支配其注册商标并禁止他人侵害的权利,包括商标注册人对其注册商标的排他使用权、收益权、处分权、续展权和禁止他人侵害的权利.商标是用以区别商品和服务不同来源的商业性标志,由文字、图形、字母、数字、三维标志、颜色组合或者上述要素的组合构成。
商标评估的重要性:
● 摸清家底,维护企业资产的完整。以财务报告为目的的商标权评估成为企业资产管理的重要环节。
● 为经营者提供管理、决策依据。
● 资本运营需要,以无形资产为先导,实现低成本扩张。
● 资产交易的需要。
● 激励投资者信心。
● 有利于销售渠道的拓展和特许经营体系的扩张。
● 商标权质押贷款。
● 商标权出资、增资。
● 经济谈判的需要。
● 为侵权赔偿提供依据。
● 提高企业被认定为著名商标、中国驰名商标的成功率。
● 扩大、提高企业影响力,展示企业发展实力。
● 提升企业品牌凝聚力。
商标权资产评估收集的相关资料通常包括:
(一)商标注册人的基本情况;
(二)商标和有关权利事项登记情况;
(三)商标权利限制情况,包括在时间、地域方面的限制以及质押、法律诉讼等;
(四)公众对商标的知晓程度;
(五)商标使用的持续时间;
(六)商标宣传工作的持续时间、程度和地理范围;
(七)与使用该商标的商品或者服务相关的著作权、专利、专有技术等其他无形资产权利的情况;
(八)宏观经济发展和相关行业政策与商标商品或者服务市场发展状况;
(九)商标商品或者服务的使用范围、市场需求、经济寿命、同类商品或者服务的竞争状况;
(十)商标使用、收益的可能性和方式;
(十一)类似商标近期的市场交易情况;
(十二)商标以往的评估及交易情况;
(十三)商标权利维护方面的情况,包括权利维护方式、效果、成本费用等。
商标评估方法:商标权资产评估方法主要有三种:收益法、成本法、市场法。资产评估师执行商标资产评估业务,应当根据评估对象、价值类型、资料收集情况等相关条件,分析收益法、市场法和成本法三种资产评估基本方法的适用性,恰当选择一种或者多种评估方法。
收益法评估关注点:资产评估师运用收益法进行商标资产评估时,应当合理确定预期收益。商标资产的预期收益应当是因商标的使用而额外带来的收益,可以通过增量收益、节省许可费、收益分成或者超额收益等方式估算。确定预期收益时,应当区分并剔除与商标无关的业务产生的收益,并关注以下因素:
(一)商标商品或者服务所属行业的市场规模;
(二)商标商品或者服务的市场地位;
(三)相关企业的经营情况,经营的合规性、技术的可能性和经济的可行性。
市场法评估关注点:资产评估师运用市场法进行商标资产评估时,应当对收集的可比交易案例与评估对象进行比较,分析在交易时间、权利种类或形式、交易方的关系、获利能力、竞争能力、预计收益期限、商标维护费用、风险程度等方面的差异。
成本法评估关注点:资产评估师运用成本法进行商标资产评估时,应当考虑商标资产价值与成本的相关程度,恰当考虑成本法的适用性。商标重置成本包括合理的成本、利润和相关税费等。
(4)专利权评估
专利权是发明创造人或其权利受让人对特定的发明创造在一定期限内依法享有的独占实施权,是知识产权的一种。包括:发明专利、实用新型专利、外观设计专利。专利资产评估业务的评估对象是指专利资产权益,包括专利所有权和专利使用权。专利使用权的具体形式包括专利权独占许可、独家许可、普通许可和其他许可形式。资产评估师执行专利资产评估业务,应当明确专利资产的权利属性。评估对象为专利所有权的,应当关注专利权是否已许可他人使用及使用权的具体形式,并关注其对专利所有权价值的影响。评估对象为专利使用权的,应当明确专利使用权的具体形式。
专利评估的重要性:
● 摸清家底,维护企业资产的完整。以财务报告为目的的专利权评估成为企业资产管理的重要环节。
● 为经营者提供管理、决策依据。
● 资本运营需要,以无形资产为先导,实现低成本扩张。
● 资产交易的需要。
● 激励投资者信心。
● 有利于销售渠道的拓展和特许经营体系的扩张。
● 专利权质押贷款。
● 专利权出资、增资。
● 经济谈判的需要。
● 为侵权赔偿提供依据。
● 扩大、提高企业影响力,展示企业发展实力。
● 提升企业品牌凝聚力。
评估方法:专利权资产评估主要有三种方法:收益法、成本法、市场法。资产评估师执行专利资产评估业务,应当根据评估对象、价值类型、资料收集情况等相关条件,分析收益法、市场法和成本法三种资产评估基本方法的适用性,恰当选择一种或者多种资产评估方法。
收益法关注点:运用收益法进行专利资产评估时,应当收集专利产品的相关收入、成本、费用数据。对委托方或者相关当事方提供的专利未来实施情况和收益状况的预测进行必要的分析、判断和调整,确信相关预测的合理性。根据专利资产的具体情况选择恰当的收益口径。根据专利资产的技术寿命、技术成熟度、专利法定寿命、专利技术产品寿命及与专利资产相关的合同约定期限,合理确定专利资产收益期限。综合考虑评估基准日的利率、投资回报率、资本成本,以及专利实施过程中的技术、经营、市场、资金等因素,合理确定折现率。
市场法关注点:运用市场法进行专利资产评估时,应当收集足够的可比交易案例。在分析交易案例的可比性时,应当考虑交易资产的特点、交易时间、限制条件、交易双方的关系、购买方现有条件,专利资产的获利能力、竞争能力、技术水平、成熟程度、剩余法定保护年限及剩余经济寿命、风险程度、转让或者使用情况,实施专利资产是否涉及其他专利资产等因素。
成本法关注点:运用成本法进行专利资产评估时,应当合理确定专利资产的重置成本。重置成本包括合理的成本、利润和相关税费等。确定专利资产重置成本时,应当合理确定形成专利资产所需的研发人员、管理人员、设备及房屋建筑物等成本以及其他相关成本费用。
(5)非专利技术评估
非专利技术又称“专有技术”、“技术诀窍”,是指不为外界所知的、在生产经营活动中已采用了的、不享有法律保护的各种技术和经验。如独特的设计、造型、配方、计算公式、软件包、制造工艺等工艺诀窍、技术秘密等。
非专利技术评估的重要性:
● 摸清家底,维护企业资产的完整。以财务报告为目的的非专利技术评估成为企业资产管理的重要环节。
● 为经营者提供管理、决策依据。
● 资本运营需要,以无形资产为先导,实现低成本扩张。
● 资产交易的需要。
● 激励投资者信心。
● 有利于销售渠道的拓展和特许经营体系的扩张。
● 经济谈判的需要。
● 为侵权赔偿提供依据。
● 非专利技术出资、增资。
评估方法:非专利技术评估方法主要有三种:收益法、成本法、市场法。产评估师执行非专利技术资产评估业务,应当根据评估对象、价值类型、资料收集情况等相关条件,分析收益法、市场法和成本法三种资产评估基本方法的适用性,恰当选择一种或者多种资产评估方法。
收益法关注点:运用收益法进行非专利技术资产评估时,应当收集技术产品的相关收入、成本、费用数据。对委托方或者相关当事方提供的技术未来实施情况和收益状况的预测进行必要的分析、判断和调整,确信相关预测的合理性。根据技术资产的具体情况选择恰当的收益口径。根据技术资产的技术寿命、技术成熟度、技术产品寿命及与技术资产相关的合同约定期限,合理确定非专利技术资产收益期限。综合考虑评估基准日的利率、投资回报率、资本成本,以及非专利技术实施过程中的技术、经营、市场、资金等因素,合理确定折现率。
市场法关注点:运用市场法进行非专利技术资产评估时,应当收集足够的可比交易案例。在分析交易案例的可比性时,应当考虑交易资产的特点、交易时间、限制条件、交易双方的关系、购买方现有条件,技术资产的获利能力、竞争能力、技术水平、成熟程度、剩余经济寿命、风险程度、转让或者使用情况,实施非专利技术资产是否涉及其他专利资产等因素。
成本法关注点:运用成本法进行非专利技术资产评估时,应当合理确定非专利技术资产的重置成本。重置成本包括合理的成本、利润和相关税费等。确定非专利技术资产重置成本时,应当合理确定形成非专利技术资产所需的研发人员、管理人员、设备及房屋建筑物等成本以及其他相关成本费用。
(6)著作权评估
著作权又称版权,著作权的对象是作品,是指文学、艺术、和科学领域内具有独创性并能以某种有形形式复制的智力成果。作品的类别,包括文字作品、口述作品、音乐、戏剧、曲艺、舞蹈、杂技艺术作品、美术、建筑作品、摄影作品、电影作品和以类似摄制电影的方法创作的作品、工程设计图、产品设计图、地图、示意图等图形作品和模型作品、计算机软件,法律、行政法规规定的其他作品。
著作权权利的组成部分,可概括为人身权和财产权。
著作人身权是指作者通过创作表现个人风格的作品而依法享有获得名誉、声望和维护作品完整性的权利。该权利由作者终身享有,不可转让、剥夺和限制。作者死后,一般由其继承人或者法定机构予以保护。根据中国《著作权法》 [2] 的规定,著作人身权包括:
1.发表权,即决定作品是否公布于众的权利;
2.署名权,即表明作者身份,在作品上署名的权利;
3.修改权,即修改或者授权他人修改作品的权利;
4.保护作品完整权,即保护作品不受歪曲、篡改的权利。 [3]
著作财产权是作者对其作品的自行使用和被他人使用而享有的以物质利益为内容的权利。 著作财产权的内容具体包括:
1.复制权,即以印刷、复印、拓印、录音、录像、翻录、翻拍等方式将作品制作一份或者多份的权利;
2.发行权,即以出售或者赠与方式向公众提供作品的原件或者复制件的权利;
3.出租权,即有偿许可他人临时使用电影作品和以类似摄制电影的方法创作的作品、计算机软件的权利,计算机软件不是出租的主要标的的除外;
4.展览权,即公开陈列美术作品、摄影作品的原件或者复制件的权利;
5.表演权,即公开表演作品,以及用各种手段公开播送作品的表演的权利;
6.放映权,即通过放映机、幻灯机等技术设备公开再现美术、摄影、电影和以类似摄制电影的方法创作的作品等的权利;
7.广播权,即以无线方式公开广播或者传播作品,以有线传播或者转播的方式向公众传播广播的作品,以及通过扩音器或者其他传送符号、声音、图像的类似工具向公众传播广播的作品的权利;
8.信息网络传播权,即以有线或者无线方式向公众提供作品,使公众可以在其个人选定的时间和地点获得作品的权利;
9.摄制权,即以摄制电影或者以类似摄制电影的方法将作品固定在载体上的权利;
10.改编权,即改变作品,创作出具有独创性的新作品的权利;
11.翻译权,即将作品从一种语言文字转换成另一种语言文字的权利;
12.汇编权,即将作品或者作品的片段通过选择或者编排,汇集成新作品的权利;
13.以及应当由著作权人享有的其他权利。
著作权评估的重要性:
● 为经营者提供管理、决策依据。
● 资本运营需要,以无形资产为先导,实现低成本扩张。
● 资产交易的需要。
● 有利于销售渠道的拓展和特许经营体系的扩张。
● 版权质押贷款。
● 版权出资、增资。
● 经济谈判的需要。
● 为侵权赔偿提供依据。
● 扩大、提高企业影响力,展示企业发展实力。
● 提升企业品牌凝聚力。
著作权评估方法:著作权评估主要有三种方法,收益法、成本法、市场法。资产评估师执行著作权资产评估业务,应当根据评估对象、评估目的、价值类型、资料收集情况等相关条件,分析收益法、市场法和成本法三种资产评估基本方法的适用性,恰当选择一种或者多种评估方法。
收益法关注点:运用收益法进行著作权资产评估时,应当根据著作权资产对应作品的运营模式合理估计评估对象的预期收益,并关注运营模式法律上的合规性、技术上的可能性、经济上的可行性。著作权的预期收益通常通过分析计算增量收益、节省许可费和超额收益等途径实现。应当关注该作品演绎出新作品并产生衍生收益的可能性。当具有充分证据证明该作品在可预见的未来可能会演绎出新作品并产生衍生收益时,资产评估师应当谨慎、恰当地考虑这种衍生收益对著作权资产价值的影响。
成本法关注点:资产评估师运用成本法进行著作权资产评估时,应当合理确定作品的重置成本。作品重置成本包括创作人员和管理人员的人工成本、材料成本、创作环境配套成本、场地使用或者占用等合理成本以及合理利润和相关税费等。应当了解著作权资产的贬值在其经济寿命期内可能不是均匀分布的,应当采用适当方法确定评估对象的贬值。
市场法关注点:资产评估师运用市场法进行著作权资产评估时,应当对收集的交易案例与评估对象进行比较,分析在交易时间、权利种类或者形式以及限制条件、交易方的关系、获利能力、竞争能力、剩余经济寿命、风险程度等方面的差异。
(7)植物新品种权评估
植物新品种是指经过人工培育的或者对发现的野生植物加以开发,具备新颖性、特异性、一致性、稳定性,并有适当的命名的植物新品种。完成育种的单位和个人对其授权的品种,享有排他的独占权,即拥有植物新品种权。
植物新品种权评估的主要作用:
1)提升企业知名度、美誉度,增强品牌凝聚力,树立企业形象,展示企业实力;
2)融资的需要:可利用新品种权吸引投资、质押贷款等;
3)资本运营的需要:新品种权在合资、增资、重组、改制、上市时可作价入股;
4)交易的需要:在新品种权转让、许可使用、拍卖等情况下提供价值依据;
5)摸清家底,给经营者提供管理信息;
6)为打假、侵权索赔提供价值依据。
(8)集成电路布图设计权评估
集成电路布图设计权是一项独立的知识产权,是权利持有人对其布图设计进行复制和商业利用的专有权利。布图设计权的主体是指依法能够取得布图设计专有权的人,通常称为专有权人或权利持有人。集成电路布图设计专有权既不同于版权,又不同于专利或商标,但其保护制度既具有部分版权保护的特征,又具有部分工业产权,特别是专利权保护的特征。
集成电路布图设计权评估的主要作用:
1)提升企业知名度、美誉度,增强品牌凝聚力,树立企业形象,展示企业实力;
2)融资的需要:可利用集成电路布图设计吸引投资、质押贷款等;
3)资本运营的需要:集成电路布图设计在合资、增资、重组、改制、上市时可作价入股;
4)交易的需要:在集成电路布图设计转让、许可使用、拍卖等情况下提供价值依据;
5)摸清家底,给经营者提供管理信息;
6)为打假、侵权索赔提供价值依据。
(9)排污权评估
排污权是指市场主体在正常生产经营活动中,经环保行政主管部门许可,并以排污许可证形式确认的直接或间接向环境排放污染物数量的权利。
现阶段,排污权需要进行资产评估的经济行为主要有排污权交易和排污权质押贷款。充分合理设置和建设排污权交易市场制度,是推动我国大气污染和水污染防治工作可持续发展的重要途径,今后我国大气和水的环境保护能否取得更大的成效取决于是否形成真正意义的排污权交易市场,它不仅具有经济价值,更具有很大的环保价值。排污权抵押贷款是指借款人以有偿取得的并以排污许可证形式确认的排污权为抵押物,在遵守国家有关金融法律、法规和信贷政策前提下,向贷款银行申请获得贷款的融资活动。排污权抵押仅限于拥有许可证的企业自身向银行借款,不得作为第三方融资的抵押。
排污权价值评估为排污权交易、质押贷款等经济行为提供了重要作用。
(10)特许经营权评估
在我国,特许经营又叫特许经营权,通常有两种形式:
一是由政府机构授权,准许特定企业使用公共财产,或在一定地区享有经营某种特许业务的权利,如准许航空公司在政府规定的航线上,利用国有的机场设施,经营客货运业务;
二是一家企业有期限地或永久地授予另一家企业使用其商标、商号、专利权、专有技术等专有权利,按照合同规定,在特许者统一的业务模式下从事经营活动,并向特许人支付相应费用。
特许经营权作为一类特殊的可确指无形资产,对不少企业的生产经营发挥着举足轻重的作用。特许经营权价值的形成不能以简单的劳动价值论来说明,而应深入分析特许经营现象(或称之为经济行为)产生的原因及其存在的必然性。
(11)商誉评估
商誉是不可确指的无形资产,根据《企业会计准则第6号——无形资产》(2006)第11条规定,企业自创商誉,不应确认为无形资产。当前,商誉的评估方法主要有以下两种:
(一)割差法。
割差法是用企业的总体价值扣除各项有形资产和可辨认的无形资产价值后的差额,以之来确定企业商誉价值的一种评估方法。
只有当企业的总体价值扣除各项有形资产和可确指的无形资产后还有剩余时,才存在企业的商誉价值,这里有两个前提条件:①必须首先知道确定企业总价值。②对企业有形资产以及可确指的无形资产数量和现行估算均具有准确性。这种情况下可用割差法来计算该商誉的价值。主要步骤是:
(1)通过整体评估的方法评估出企业整体资产的价值;
(2)通过单项评估的方法分别评估出各类有形资产的价值和各项可确指的无形资产的价值;
(3)在企业整体资产评估价值中扣减掉各单项有形资产及单项可确指的无形资产的价值之和,其剩余即是企业商誉的评估值。
(二)超额收益法。
超额收益法是以改组企业的超额收益为基础,以之评估企业商誉的方法。
这种方法的基本思路是直接用企业超过行业平均收益来对商誉进行估算,理论依据是商誉的定义。根据企业获得超额收益的年限不同,这种方法一般可进而分作两种方法:
1.超额收益资本化法。在对经营状况好,收入稳定的永续性企业商誉进行评估时,可采用此方法。步骤是:
①分别评估出企业各单项有形资产与单项可指无形资产的价值,并求出它们的加总值;
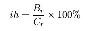
②合理确定行业平均收益率ih;

其中:Br为各企业所得税后净收益之和 Cr为各企业资产总额之和
③将企业单项资产加总值与行业平均收益率相乘,求出按行业平均的收益水平计算的企业各单项资产之和可取得的收益;
④详细预测企业未来的年平均收益值;
⑤用企业未来收益值扣减各单项资产按行业平均水平取得的收益值,从而得到企业的年超收益值;
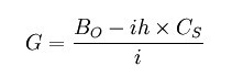
⑥选择适当的本金化率将企业的年超额收益值本金化处理,得出商誉评估值。具体公式如下:
G:企业商誉评估值
Bo:企业年预期收益
ih:行业平均收益率
Cs:各单项资产评估值加总
i:本金化率
2.超额收益折现法。当企业的超额收益只能维持有限年度时,应运用此方法来评估商誉价值,其主要步骤如下:
①合理确定商誉的剩余经济寿命;
②详细预测企业在剩余期内年度收益以及按行业平均收益率和企业各项资产评估总值相乘得出的收益额,差额即为企业每年预期超额收益;
③测定合理折现率,企业剩余经济寿命期间预期超额收益的折现额之和,便是企业的商誉评估值。用公式表示是:
G:企业商誉评估值
i:折现率
Bt:第t年企业预期超额收益
n:企业预期具有超额收益的年限

